Extraordinaria 24-25
Atrás Arriba

 

Se dispone de un péndulo simple de 87 cm de longitud que oscila respecto a su posición de equilibrio con un ángulo muy pequeño. Obtenga la frecuencia angular de oscilación y el periodo. Escriba la ecuación de la posición en función del tiempo si la amplitud inicial es de A = 2 cm y x(t = 0 s) = A. ¿Cuál es la velocidad del péndulo al pasar por la vertical?

Datos: Aceleración de la gravedad: 9,8 m/s2.

 

SOLUCIÓN

 

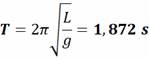
Recordando la expresión del periodo de un péndulo en función de su longitud:

La frecuencia angular se puede obtener a partir del periodo:

Si en t = 0 s el péndulo se encuentra en x=A, es conveniente usar la función coseno para escribir la ecuación del movimiento:

Al pasar por la vertical (punto más bajo y de equilibrio) llevará su velocidad máxima:

El signo indica el sentido en que se mueve en los sucesivos pasos por la vertical